Description
The goal of the project is the gather information regarding soil bacteria capable of metabolizing organophosphates. From the results of student 5 samples, there are likely bacteria capable of breaking down Paraoxon. This project is being conducted by students and universities all over the country. The intent is to discover bacteria and biological pathways could help mitigate the damage done to the environment through the usage of pesticides. This a wide-scale project and continued work needs to done in order to provide more information.
Data for Soil Sample and Researcher
Location of Soil Sample
Field near TAMU AgriLife Stephenville, Stephenville, TX 76401, United States, 32.24956, -98.19707
Collection Date of Soil Sample
Colonies of Paraoxon
122
Colonies of Methyl Parathion
0
Researcher
Aeron Pennington
Organization
Tarleton State University
Lab Day
Wednesday
Time of Lab
Unspecified
Course Term
Spring
Year of Course
2022
Uploaded Files
Image Descriptions in General
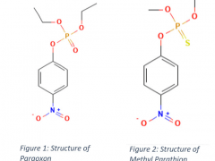
In order top to bottom, left to right…
Map of soil sample location, Week1, Week2, Week3, Week4, Week5, Plate of CSM for Px, Chemical structures of Paraoxon and Methyl Parathion








